仿荷叶基于纳米微粒制备超疏水自清洁纺织品

一、摘要

由于传统的洗涤方式:利用水和洗涤剂来清洗污渍的方式,排放了大量废水,也会影响衣物特性。在这种情况下,纺织品自清洁能够排斥或降解污渍,以实现自动清洁,达到节水节能,环保的功能。

受到荷叶“出淤泥而不染”的自清洁特性的启发,它的特性来源于微米乳突和低表面能纳米蜡晶,以及已有的结论证实,想要达到纺织品自清洁的效果,必须要做到低表面张力物质和微观粗糙结构的结合。

目前超疏水纤维表面所用的纳米材料主要有SiO2、TiO2等。其中纳米SiO2原料来源广、化学稳定,应用最多,但是传统的溶胶-凝胶法制备纳米SiO2,需要有机溶剂来制备,成本高,易燃,不安全。

本课题的设想是将纳米粒子在纺织品表面固着,形成类似荷叶表面的微观粗糙结构,再经低表面能物质修饰,纺织品表面通过微观粗糙结构和低表面能物质的协同,可以实现类似荷叶的超疏水自清洁性。

关键词:功能性纺织品,超疏水,改性二氧化硅

二、超疏水基础理论

(一)杨氏方程

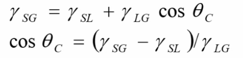
1805年,Young首次提出了杨氏方程,即光滑且均匀的固体表面上的液滴,其三相线上的接触角服从Young氏方程。

图1 液滴在平滑表面的平衡状态

图2 杨氏方程

γSG为固体的表面张力

γSL为液体的表面张力

γLG为固液间的界面张力

θ为气、固、液三相平衡时的接触角。

接触角是是判定物质疏水性能的重要因素之一,当此方程中的接触角θ>150°时,固体表面就能称为超疏水表面。但是,Young氏方程仅仅只能解释光滑表面,不适用于粗糙表面。

(二)Cassie-Baxter模型

1944年,Cassie和Baxter提出了另一种模型Cassie-Baxter模型,更加符合现实情况。

图3 Cassi-Baxter模型

当固体的表面微观粗糙度远小于液滴尺寸,而远大于分子尺寸时,若表面疏水性较强,液滴并不充满粗糙表面上的凹槽,由于空气垫的存在,而悬浮于粗糙物体表面上

图4Cassie-Baxter方程

θCB为Cassie-Baxter模型的表观接触角,fls、flv分别为液-固界面、液-气界面的实际接触面积与表观接触面积的比值,θs与θv 分别为液-固理想界面和液-气界面的接触角,且θv =180°。一般认为 0 < flv < 1,fls > 0。

三、纳米二氧化硅的介绍

(一)结构

纳米二氧化硅,无定形结构,由Si原子为中心,O原子为顶点所形成的四面体不规则堆积而形成。

图5二氧化硅实物、晶格结构及三维链状结构

(二)性质

纳米SiO2作为纳米粉体,其体积效应和量子隧道效应使得其产生渗透作用,可深入到高分子化合物的π键附近,与高分子化合物的电子云发生重叠,形成空间网状结构,从而大幅度提高了高分子材料的力学强度、韧性、耐磨性和耐老化性、多孔性、比表面积大、高分散性、质轻、化学稳定性好、耐高温、不燃烧、触变性、消光性、亲水性、绝缘性等性能。

四、实验

(一)实验步骤

1.制备改性二氧化硅溶胶

将适量的正硅酸四乙酯(TEOS)和水与无水乙醇1:9的混合液混合,在适当温度下,反应30min后,添加γ-氨基丙基三甲氧基硅烷(APTMS),再反应60分钟后,一边搅拌分次加入适量氨水, 4h后,将得到的具有不同粒径的改性SiO2溶胶进行下一步操作。

2.两步法整理棉织物

第一步,将棉织物浸轧改性SiO2溶胶,第二步,用烷基硅氧烷或硬脂酸对浸轧改性SiO2溶胶后的棉织物表面进行改性,将一定浓度的烷基硅氧烷或硬脂酸加入到乙醇中配置成烷基硅醇溶液或硬脂酸乙醇溶液。

(二)影响改性SiO2溶胶性质的因素

1.氨水用量

图6 氨水用量对改性二氧化硅溶胶性质的影响

根据表格的数据,可以得出结论:溶胶的平均粒径随着氨水用量的增大而变小,溶胶多分散指数则先变小后增大,在氨水用量为2mL时,PDI指数最小,表明溶胶性质均一稳定。

2.温度

图7温度对改性二氧化硅溶胶性质的影响

图8温度影响

由实验结果可得,随着温度升高,溶胶平均粒径不断增大,PDI的变化过程是先增大后减小再增大,在30℃时,PDI最小。根据资料,可以作出如下解释:溶胶形成的过程是吸热反应,温度升高使反应向正方向进行,促进TEOS的水解和缩合,且随着温度的升高,缩合速率大于水解速率,从而导致溶胶的平均粒径呈逐渐增大的趋势。

3.TEOS浓度

图9 TEOS浓度改性二氧化硅溶胶性质的影响

由上图的表格可知,随着TEOS浓度逐渐增大,溶胶平均粒径和PDI随之增大,当TEOS浓度为3%时,PDI最小,改性二氧化硅溶胶性质良好。

(三)结果测试

1.拒水性测试

图10拒水性实验

仪器原理为:使用微量进样器控制水滴量为15µL,调整斜台的倾斜角度,并保持微量进样器针头至织物表面距离为1cm,水滴在织物上滚动距离为2cm。在同一样品不同位置测量10次,取能使至少5个水滴都完全滚落的最小倾斜角作为织物的滚动角。

实验结果为:接触角150.62°,滚动角8°。

2.织物的物理性质测试

图10拉伸性能实验

图11拉伸强度测试

实验方法为:五经五纬,取平均值。拆去条样长边纱线,使条样的长边不含断纱线,且短边有效长度为5cm。

实验结果表明,经过超疏水制备的纺织品,在物理性质上,达到了比较好的表现,断裂强度和弯曲强度有所提升,而透气率下降虽然较明显,依旧满足日常使用,白度变化不大。

五、参考文献

1棉织物的改性纳米二氧化硅超疏水整理]J]

程 洋,徐丽慧,李 倩 (上海工程技术大学 服装学院,上海 201620)

2棉织物的改性纳米SiO2超疏水整理]J]

周光传,徐丽慧,李 倩,黄长灿,吴 魁,王黎明(上海工程技术大学 服装学院,上海 201620)

3棉织物的改性纳米SiO2超疏水整理]J]

周光传,徐丽慧,李 倩,黄长灿,吴 魁,王黎明 (上海工程技术大学 服装学院,上海 201620)

4超疏水表面的制备方法]J]

石 璞,  陈 洪 ,  龚惠青,  袁志庆,  李福枝,  刘跃军

5中国粉体网.]N]搜狐新闻https://www.sohu.com/a/ 206694715_99919252

6中国粉体网.]N]搜狐新闻https://www.sohu.com/a/206694715_99919252

试样编号 氨水用量(mL) 溶胶平均粒径(nm) 溶胶多分散指数(PDI)
N1 N2 N3 N4 N5 0.5 1.0 1.5 2.0 2.5 103.68 86.19 72.38 65.88 61.43 0.255 0.204 0.162 0.096 0.310
试样编号 温度(℃) 溶胶平均粒径(nm) 溶胶多分散指数(PDI)
W1 W2 W3 W4 W5 10 20 30 40 50 60.67 64.92 65.88 76.18 92.47 0.106 0.118 0.096 0.162 0.289
试样编号 TEOS浓度(%) 溶胶平均粒径(nm) 溶胶多分散指数(PDI)
T1 T2 T3 T4 T5 2% 3% 4% 5% 6% 65.03 65.88 80.61 106.52 113.28 0.107 0.096 0.156 0.198 0.219
织物 断裂强力(N) 断裂强力(N) 弯曲长度(cm) 弯曲长度(cm) 透气率(mm/s) 白度
织物 经向 纬向 经向 纬向 透气率(mm/s) 白度
未整理棉织物 1085.4 491.6 1.2 1.0 63.28 83.1
两步法整理棉织物 1169.5 352.3 1.3 1.1 46.36 81.6
图1

图1

图2

图2

图3

图3

图4

图4

图5

图5

图6

图6

图7

图7

图8

图8